样本池选择器允许创建、修改和查看数据池以进行比较和界限计算.
● KLIPPEL数据(QC和R&D)的统计分析
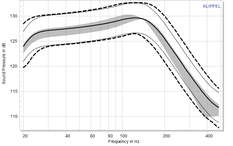
● 交互式界限定义和导出
● 手动或自动数据池分配
● 直方图和曲线统计
● 基于定义的界限, 动态计算产量
● 曲线数据的横截面(分布)视图
统计分析(STAT)模块是用于比较和分析来自产线或原型批次的大量测试数据的强大工具。该工具使得可视化最小/最大范围和数据池的差异变得容易;该模块读取Klippel(RnD和QC)数据, 并在图表和表格中显示统计信息。被测对象被归入不同的样本池中, 并根据它们的分组比较所有测试结果的统计信息。可以手动、半自动(通过限定阈值)或全自动(例如通过界限值)来分配样本池组。STAT可以帮助用户实现大海捞针的功能!

界限值可以通过定义(例如定义平移6dB)来计算, 也可以通过交互式鼠标点击来计算.